近日,2026年全国硕士研究生招生录取工作圆满落下帷幕,最新bbin官方平台直营网站再传考研捷报,全院学子认真备考、努力拼搏,交出了一份可喜的答卷。学院考研成绩连续三年实现稳步增长,人才培养成效逐步显现。
数据概览:三年持续增长,质量数量双提升
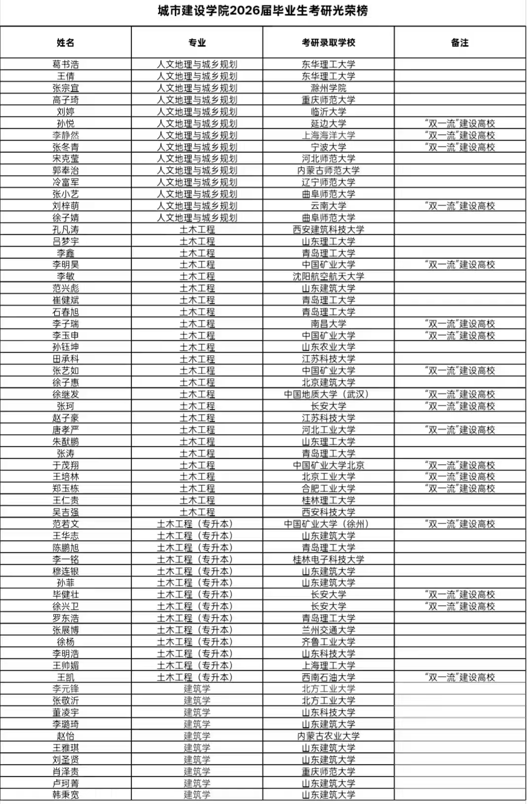
近三年来,学院考研率逐年提高:2024年为14.07%,2025年升至22.49%,2026年达到31.66%,实现了连续三年的正增长,较三年前翻了一番多,反映出学院在学风建设和学生指导方面取得了显著成效。同时,考取“双一流”建设高校的学生人数持续增加:2024年5人,2025年8人,2026年达到16人。越来越多的城建学子获得了进入更高平台深造的机会。


多措并举:稳步推进,助力学生圆梦
成绩的取得并非偶然,是学院近年来坚持以学生为中心,逐步完善考研服务工作的结果,也是师生共同努力的体现。学院提前谋划、注重过程:每年定期举办考研动员讲座,帮助学生明确方向、增强信心;设立专用考研自习室,营造安静的学习环境;推行“一对一”帮包机制,专业课教师、班主任、学业导师和辅导员分工协作,为学生答疑解惑、缓解压力、制订计划,形成了有效的育人合力。
此外,学院注重榜样引领,组织考研经验分享会,邀请优秀学生交流备考心得;通过微信公众号等平台推送考研资讯和典型案例,营造积极的学习氛围。复试阶段,学院组织模拟面试和针对性指导,帮助学生熟悉流程、提升应试能力,尽力为考研学子提供支持。
连续三年的考研成绩稳步提升,是学院扎实推进育人工作的一个缩影,也一定程度上反映了办学实力和人才培养质量的提升。未来,最新bbin官方平台直营网站将继续坚守育人初心,立足实际、优化举措,持续夯实人才培养基础,帮助更多学生实现升学梦想,培养更多踏实肯干的应用型人才,为学院发展注入持续的动力。